中国科学院物理研究所
北京凝聚态物理国家研究中心
SC4组供稿
第13期
2011年04月29日
高压诱导拓扑绝缘体Bi2Te3超导性研究取得进展
拓扑绝缘体作为一种新奇的量子物质态,其行为完全不同于传统意义上的"金属"和"绝缘体". 它的体态表现出绝缘性质,而表面态则表现为金属特性。在拓扑绝缘体内部的电子能带结构和常规的绝缘体相似,费米能级位于导带和价带之间的能隙当中。在拓扑绝缘体的表面存在特殊的狄拉克能带结构, 而且由于受到时间反演对称性的保护, 这种结构非常稳定。理论研究表明,当把拓扑绝缘体和铁磁性或超导体组合在一起时,会产生一些新的物理现象, 一个重要的研究方向是发现和研究拓扑超导体。
物质在压力这一物理维度下,其晶体结构和电子结构都会发生变化,常常能产生丰富的物理现象,因而,通过对拓扑绝缘体施加物理压力来研究其结构和物性变化,以及通过压力手段实现潜在的拓扑超导体是拓扑绝缘体研究的一个令人关注的重要课题。最近,中国科学院物理研究所/北京凝聚态物理国家实验室(筹)超导实验室SC4组赵忠贤院士、孙力玲研究员及博士研究生张超等与SC7组周兴江研究员及博士生陈朝宇合作,利用自主研制的先进的低温-高压-磁场综合测量系统对拓扑绝缘体Bi2Te3单晶进行了系统的研究。通过高压原位磁阻和交流磁化率的双重测量, 研究了压力诱导的拓扑绝缘体至超导体的转变。并通过高压实时霍尔测量, 首次给出了压力下超导转变温度与载流子浓度和类型的转变之间的定量关系。相关实验结果发表在Physical Review B(Rapid communication) 83, (2011) 140504,并被该期选为Editor's Suggestion和亮点工作。
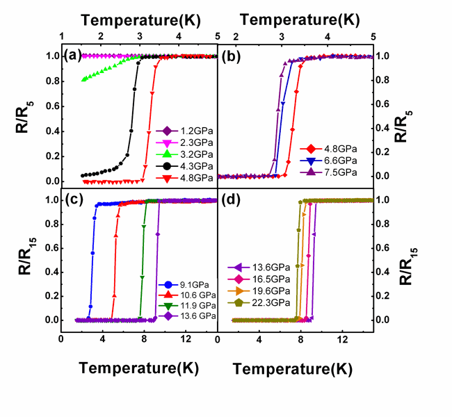
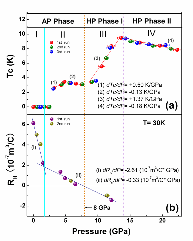
实验发现,在较宽的压力范围内(~22.3GPa),拓扑绝缘体Bi2Te3的物理性质表现出丰富的压力依赖关系,基本上可以分为4个变化区域。(I). 在3.2 GPa之前,样品保持常压的晶体结构,但没表现出超导特性;(II). 在3.8-8 GP之间,Bi2Te3出现超导(Tc~3K),但仍保持与常压相同的晶体结构;(III).压力超过8 GPa,材料发生相变进入HP I相,此时超导温度随压力增加而增加,在13.6GPa时达到最高Tc,约为10K;(IV). 当压力进一步增加到13.6GPa以上时,样品进入另一个高压相HP II, 这时超导温度随着压力的增加而减少。
通过对霍耳系数的原位测量,确定了拓扑绝缘体Bi2Te3的超导转变温度、霍耳系数与压力间的关系。 在常压下,拓扑绝缘体Bi2Te3的霍尔系数为正,表现为空穴导电。在3.2GPa附近样品转变为超导体时,霍尔系数伴随一个转折。 特别是在8GPa样品由常压结构转变为高压结构HP I时,霍尔系数出现由正到负的转变,表明载流子由空穴为主,转变为以电子为主。这些结果表明,在压力作用下,Bi2Te3的电子结构呈现出相应的变化。
值得特别注意的是,在3.8-8GPa之间,Bi2Te3保持着常压下的晶体结构,而且又变为超导体。一个有趣的问题是,这时的Bi2Te3是否成为拓扑超导体。这个问题还需要进一步的理论和实验工作来解决。
在超高压、低温、磁场等综合极端条件下进行原位电阻、磁阻、交流化率和霍尔效应等测量是超导体及一些功能材料研究的重要实验手段之一,为发现新的量子现象、探索超导机理拓展了研究的物理维度。该项工作主要是在本组新近自主研制的先进的低温-高压-磁场综合测量系统上完成的。该设备集超高压(100 GPa)、低温(1.5K)、强磁场(9T)为一体,通过压力、磁场和温度三个物理维度的调控可以对材料进行不同物理环境下的电阻、磁阻、交流磁化率和霍尔系数的原位测量。这一先进的综合测量系统在该项目研究中得到了成功的运用,其性能优势得到了体现。这对于以后继续深入开展极端条件下的新型超导材料和新奇量子态的研究都会发挥作用。这套具有超高压下原位磁阻测量、霍尔测量和交流磁化率测量功能的综合测试系统在国际该领域的科研设备中具有自己特色。
本工作得到科技部重大科学研究计划和基金委面上项目的支持。
物质在压力这一物理维度下,其晶体结构和电子结构都会发生变化,常常能产生丰富的物理现象,因而,通过对拓扑绝缘体施加物理压力来研究其结构和物性变化,以及通过压力手段实现潜在的拓扑超导体是拓扑绝缘体研究的一个令人关注的重要课题。最近,中国科学院物理研究所/北京凝聚态物理国家实验室(筹)超导实验室SC4组赵忠贤院士、孙力玲研究员及博士研究生张超等与SC7组周兴江研究员及博士生陈朝宇合作,利用自主研制的先进的低温-高压-磁场综合测量系统对拓扑绝缘体Bi2Te3单晶进行了系统的研究。通过高压原位磁阻和交流磁化率的双重测量, 研究了压力诱导的拓扑绝缘体至超导体的转变。并通过高压实时霍尔测量, 首次给出了压力下超导转变温度与载流子浓度和类型的转变之间的定量关系。相关实验结果发表在Physical Review B(Rapid communication) 83, (2011) 140504,并被该期选为Editor's Suggestion和亮点工作。
实验发现,在较宽的压力范围内(~22.3GPa),拓扑绝缘体Bi2Te3的物理性质表现出丰富的压力依赖关系,基本上可以分为4个变化区域。(I). 在3.2 GPa之前,样品保持常压的晶体结构,但没表现出超导特性;(II). 在3.8-8 GP之间,Bi2Te3出现超导(Tc~3K),但仍保持与常压相同的晶体结构;(III).压力超过8 GPa,材料发生相变进入HP I相,此时超导温度随压力增加而增加,在13.6GPa时达到最高Tc,约为10K;(IV). 当压力进一步增加到13.6GPa以上时,样品进入另一个高压相HP II, 这时超导温度随着压力的增加而减少。
通过对霍耳系数的原位测量,确定了拓扑绝缘体Bi2Te3的超导转变温度、霍耳系数与压力间的关系。 在常压下,拓扑绝缘体Bi2Te3的霍尔系数为正,表现为空穴导电。在3.2GPa附近样品转变为超导体时,霍尔系数伴随一个转折。 特别是在8GPa样品由常压结构转变为高压结构HP I时,霍尔系数出现由正到负的转变,表明载流子由空穴为主,转变为以电子为主。这些结果表明,在压力作用下,Bi2Te3的电子结构呈现出相应的变化。
值得特别注意的是,在3.8-8GPa之间,Bi2Te3保持着常压下的晶体结构,而且又变为超导体。一个有趣的问题是,这时的Bi2Te3是否成为拓扑超导体。这个问题还需要进一步的理论和实验工作来解决。
在超高压、低温、磁场等综合极端条件下进行原位电阻、磁阻、交流化率和霍尔效应等测量是超导体及一些功能材料研究的重要实验手段之一,为发现新的量子现象、探索超导机理拓展了研究的物理维度。该项工作主要是在本组新近自主研制的先进的低温-高压-磁场综合测量系统上完成的。该设备集超高压(100 GPa)、低温(1.5K)、强磁场(9T)为一体,通过压力、磁场和温度三个物理维度的调控可以对材料进行不同物理环境下的电阻、磁阻、交流磁化率和霍尔系数的原位测量。这一先进的综合测量系统在该项目研究中得到了成功的运用,其性能优势得到了体现。这对于以后继续深入开展极端条件下的新型超导材料和新奇量子态的研究都会发挥作用。这套具有超高压下原位磁阻测量、霍尔测量和交流磁化率测量功能的综合测试系统在国际该领域的科研设备中具有自己特色。
本工作得到科技部重大科学研究计划和基金委面上项目的支持。
![]() |
| 图1 不同压力下Bi2Te3拓扑绝缘体单晶的电阻-温度曲线。 |
![]() |
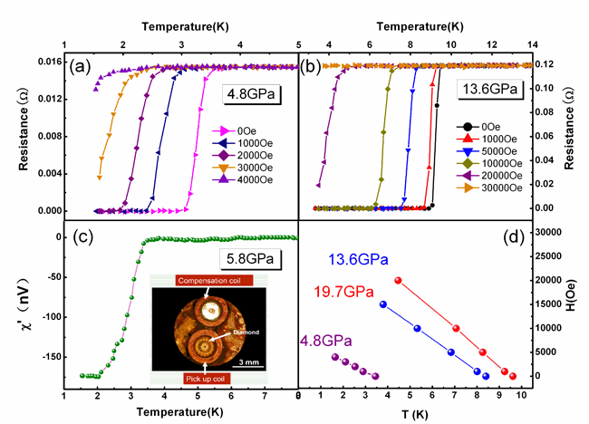
| 图2 (a)4.8 GPa的压力条件下Bi2Te3磁阻随温度的变化;(b)13.6 GPa的压力条件下Bi2Te3磁阻随温度的变化;(c)5.8 GPa的压力条件下交流磁化率与温度的关系,在3.2 K 表现出明显的抗磁性,插图为镶嵌在金刚石压砧内部的样品交流磁化率信号采集线圈和补偿线圈的实物图片;(c)压力调制下磁场与温度的依赖关系。 |
![]() |
| 图3 (a)不同晶体结构中压力调制的超导转变温度;(b)不同晶体结构中霍尔系数随压力的变化,在常压相(AP phase)向高压相(HP phase)转变的临界压力(~8 GPa),其载流子类型从空穴型转变成电子型。 |




