中国科学院物理研究所
北京凝聚态物理国家研究中心
Q03组供稿
第13期
2012年05月17日
Bi2Sr2CaCu2O8+δ材料中超导能隙和赝能隙性质的研究进展
铜氧化物材料中的超导电性自1986年发现以来,其超导机制就一直是人们关心的中心问题。这类材料的一个普遍特性是在超导转变温度TC以上很宽的温度范围内有赝能隙及费米弧的存在,而对这些现象的正确理解是寻找超导配对机理的重要方面。目前通过角分辩光电子谱(ARPES)和扫描隧道显微镜(STM)等重要的谱学手段得到的对赝能隙与超导能隙的认识尚不一致,主要存在着两种不同的观点:一是单能隙或预配对观点,即赝能隙起源于超导预配对,另一则是两能隙观点,即赝能隙的起源与超导电性无关。
对于经典BCS超导体的研究,Giaever的平面型隧道结曾发挥了重要作用,通过隧道谱人们可以方便地确定超导能隙、电子态密度、准粒子寿命以及导致配对的电声相互作用(有效声子谱)等重要参数。Bi2Sr2CaCu2O8+δ本征约瑟夫森结是目前质量最好的铜氧化物材料的平面型隧道结,此类结是以晶体内的CuO2双层作为电极、BiO/SrO作为隧道势垒层所形成(见图一中的插图),因此可以避免所有外在的实验不确定因素,提供各种稳定、重复的温度依赖的测量,但早期利用此类隧道结进行的研究受到了自热效应的影响,以致测量的本征隧道谱出现严重的变形。
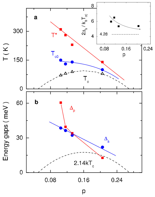
最近,中国科学院物理研究所/北京凝聚态物理国家实验室(筹)赵士平研究组和王楠林研究组、顾长志研究组合作,优化了Bi2Sr2CaCu2O8+δ本征约瑟夫森结表面层的接触并将结的面积减小到深亚微米尺度,从而成功解决了自热效应,获得了多种掺杂的Bi2Sr2CaCu2O8+δ材料在全温区的本征隧道谱(图一)。采用隧道实验中常用的处理方法对这些隧道谱的分析发现,在T* 温度赝能隙出现后,随着温度的降低超导能隙会在某个温度Tc0开始打开,其中Tc0明显高于超导转变温度Tc,而超导能隙随温度的变化与d-波BCS能隙规律完全符合。这些结果也得到了零压电导随温度的变化规律的证实。分析给出了超导态与赝隙态的基本参数(图二),同时表明在动量空间赝能隙主导反节点区域,而超导能隙主导节点区域。随着温度下降到Tc0,超导配对首先出现在节点附近的费米弧上,到了Tc以下,超导配对由节点区逐渐扩展到反节点区,最后在远远低于Tc时形成全费米面的d波超导能隙。计算也得到了超导相由于准粒子和库柏对的有限寿命所导致的费米弧,其中弧长对温度显示了常见的线性依赖关系。这些结果为高Tc超导电性的探索提供了新的实验事实 【详见Sci. Rep. 2, 248(2012)】。
上述研究得到国家自然科学基金委、科技部和中国科学院相关项目的资助。
对于经典BCS超导体的研究,Giaever的平面型隧道结曾发挥了重要作用,通过隧道谱人们可以方便地确定超导能隙、电子态密度、准粒子寿命以及导致配对的电声相互作用(有效声子谱)等重要参数。Bi2Sr2CaCu2O8+δ本征约瑟夫森结是目前质量最好的铜氧化物材料的平面型隧道结,此类结是以晶体内的CuO2双层作为电极、BiO/SrO作为隧道势垒层所形成(见图一中的插图),因此可以避免所有外在的实验不确定因素,提供各种稳定、重复的温度依赖的测量,但早期利用此类隧道结进行的研究受到了自热效应的影响,以致测量的本征隧道谱出现严重的变形。
最近,中国科学院物理研究所/北京凝聚态物理国家实验室(筹)赵士平研究组和王楠林研究组、顾长志研究组合作,优化了Bi2Sr2CaCu2O8+δ本征约瑟夫森结表面层的接触并将结的面积减小到深亚微米尺度,从而成功解决了自热效应,获得了多种掺杂的Bi2Sr2CaCu2O8+δ材料在全温区的本征隧道谱(图一)。采用隧道实验中常用的处理方法对这些隧道谱的分析发现,在T* 温度赝能隙出现后,随着温度的降低超导能隙会在某个温度Tc0开始打开,其中Tc0明显高于超导转变温度Tc,而超导能隙随温度的变化与d-波BCS能隙规律完全符合。这些结果也得到了零压电导随温度的变化规律的证实。分析给出了超导态与赝隙态的基本参数(图二),同时表明在动量空间赝能隙主导反节点区域,而超导能隙主导节点区域。随着温度下降到Tc0,超导配对首先出现在节点附近的费米弧上,到了Tc以下,超导配对由节点区逐渐扩展到反节点区,最后在远远低于Tc时形成全费米面的d波超导能隙。计算也得到了超导相由于准粒子和库柏对的有限寿命所导致的费米弧,其中弧长对温度显示了常见的线性依赖关系。这些结果为高Tc超导电性的探索提供了新的实验事实 【详见Sci. Rep. 2, 248(2012)】。
上述研究得到国家自然科学基金委、科技部和中国科学院相关项目的资助。
![]() |
| 图一、不同掺杂的Bi2Sr2CaCu2O8+δ超导体的本征电子隧道谱,插图为晶体内部隧道结的形成情况。 |
![]() |
| 图二、超导和赝隙态的(a)特征温度和(b)能隙随掺杂的变化,插图为2Δs/kTc0值。 |



