中国科学院物理研究所
北京凝聚态物理国家研究中心
L03组供稿
第67期
2015年12月25日
离子液体调控锰氧化物薄膜金属绝缘体转变
通过场效应结构来调控过渡金属氧化物的物性转变是凝聚态物理的研究热点之一。由于使用传统栅极材料的场效应结构对载流子调控能力弱的缺点(<1013 cm-2),不能对关联电子氧化物的载流子浓度(~1014 cm-2)进行有效调控,研究人员一直在寻找新的手段来进行过渡金属氧化物的场效应调控。近几年发展起来的用离子液体作为栅极材料的双电层晶体管结构迅速引起研究人员的广泛关注,电势主要降落在液体/固体界面厚度约1纳米的双电层上,对应的载流子浓度可高于1014 cm-2,基于这种新颖结构人们实现了对多种材料包括过渡金属氧化物的金属绝缘体转变、超导性质的调控。但最近的一些研究结果表明,离子液体和过渡金属氧化物界面处的强电场会诱发氧离子的迁移,从而导致物性的改变。
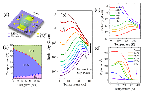
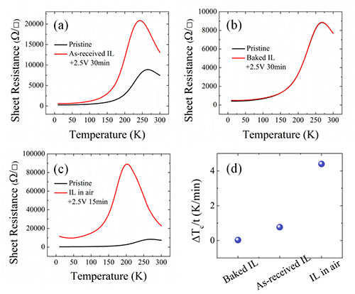
中国科学院物理研究所/北京凝聚态物理国家实验室(筹)的金奎娟研究员和杨国桢院士领导的L03组一直致力于激光分子束外延方法制备高质量的过渡金属氧化物薄膜及其物性调控的研究,对氧空位在过渡金属氧化物物性中期的重要作用进行了系列研究(Sci. Rep. 5, 11335, 2015; Sci. Rep. 3, 2618, 2013)。最近,针对离子液体调控过渡金属氧化物机制上的争议,该课题组的葛琛副研究员在La0.8Sr0.2MnO3薄膜中利用离子液体调控实现了大于四个量级的金属绝缘体转变(图1)。与谷林研究员合作,通过球差校正扫描透射电镜技术直接证实了在加栅压之后La0.8Sr0.2MnO3薄膜出现了氧空位(图2),与北京同步辐射光源王嘉鸥副研究员合作测量的XAS结果同样证实了氧空位的出现。研究发现氧空位的出现跟使用的离子液体中的水含量存在密切关系,水含量越多调控效果越明显(图3)。在和物理所胡勇胜研究员、李泓研究员、金魁研究员以及上硅所郭向欣研究员充分的讨论后,写出了该过程的电化学反应方程式。我们的工作首次揭示了使用离子液体调控氧化物时离子液体中的水可以与氧化物之间发生电化学反应产生氧空位,导致材料物性的极大改变。离子液体调控氧化物物性的现象很可能存在多种调控机制,需要小心处理。
该项研究结果于发表在Adv. Mater. Interfaces 2, 1500407 (2015)。该工作得到了中国科学院,科技部973项目 、863项目,以及国家自然科学基金等项目的支持。
文章链接:
http://onlinelibrary.wiley.com/doi/10.1002/admi.201500407/pdf
http://www.nature.com/articles/srep11335
http://www.nature.com/articles/srep02618
中国科学院物理研究所/北京凝聚态物理国家实验室(筹)的金奎娟研究员和杨国桢院士领导的L03组一直致力于激光分子束外延方法制备高质量的过渡金属氧化物薄膜及其物性调控的研究,对氧空位在过渡金属氧化物物性中期的重要作用进行了系列研究(Sci. Rep. 5, 11335, 2015; Sci. Rep. 3, 2618, 2013)。最近,针对离子液体调控过渡金属氧化物机制上的争议,该课题组的葛琛副研究员在La0.8Sr0.2MnO3薄膜中利用离子液体调控实现了大于四个量级的金属绝缘体转变(图1)。与谷林研究员合作,通过球差校正扫描透射电镜技术直接证实了在加栅压之后La0.8Sr0.2MnO3薄膜出现了氧空位(图2),与北京同步辐射光源王嘉鸥副研究员合作测量的XAS结果同样证实了氧空位的出现。研究发现氧空位的出现跟使用的离子液体中的水含量存在密切关系,水含量越多调控效果越明显(图3)。在和物理所胡勇胜研究员、李泓研究员、金魁研究员以及上硅所郭向欣研究员充分的讨论后,写出了该过程的电化学反应方程式。我们的工作首次揭示了使用离子液体调控氧化物时离子液体中的水可以与氧化物之间发生电化学反应产生氧空位,导致材料物性的极大改变。离子液体调控氧化物物性的现象很可能存在多种调控机制,需要小心处理。
该项研究结果于发表在Adv. Mater. Interfaces 2, 1500407 (2015)。该工作得到了中国科学院,科技部973项目 、863项目,以及国家自然科学基金等项目的支持。
文章链接:
http://onlinelibrary.wiley.com/doi/10.1002/admi.201500407/pdf
http://www.nature.com/articles/srep11335
http://www.nature.com/articles/srep02618
![]() |
| 图1离子液体栅压调控LSMO薄膜的金属绝缘体转变,随着加栅压时间的增长,LSMO薄膜从金属态变为绝缘态以及得到的离子液体调控相图 |
![]() |
| 图2球差校正STEM暗场像和明场像,以及明场像的线扫描分析结果,表明离子液体调控后的LSMO薄膜中出现了大量的氧空位 |
![]() |
| 图3调控效果强烈依赖于离子液体中的水含量 |




